Pump and pump pry system supplier
Description:
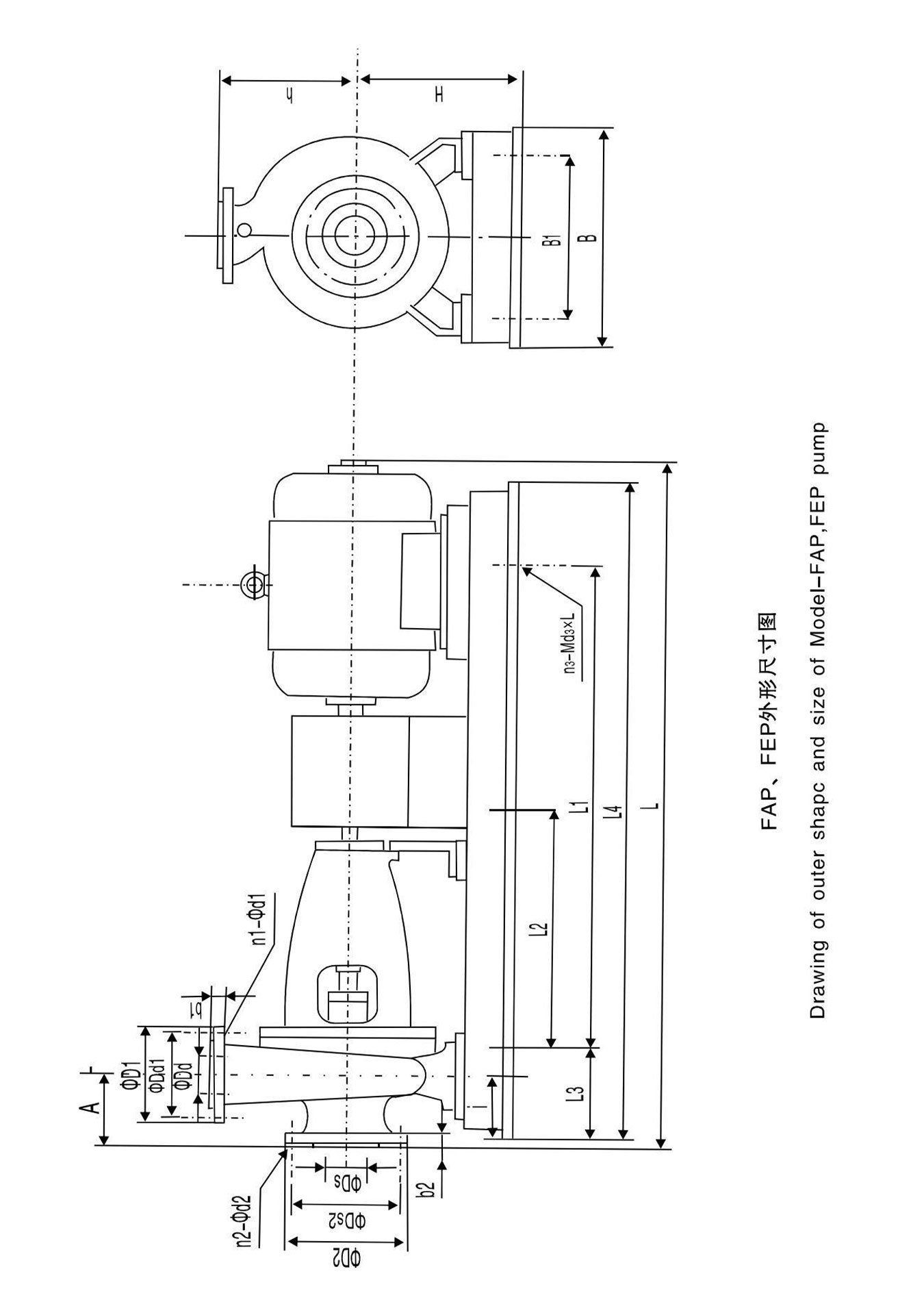
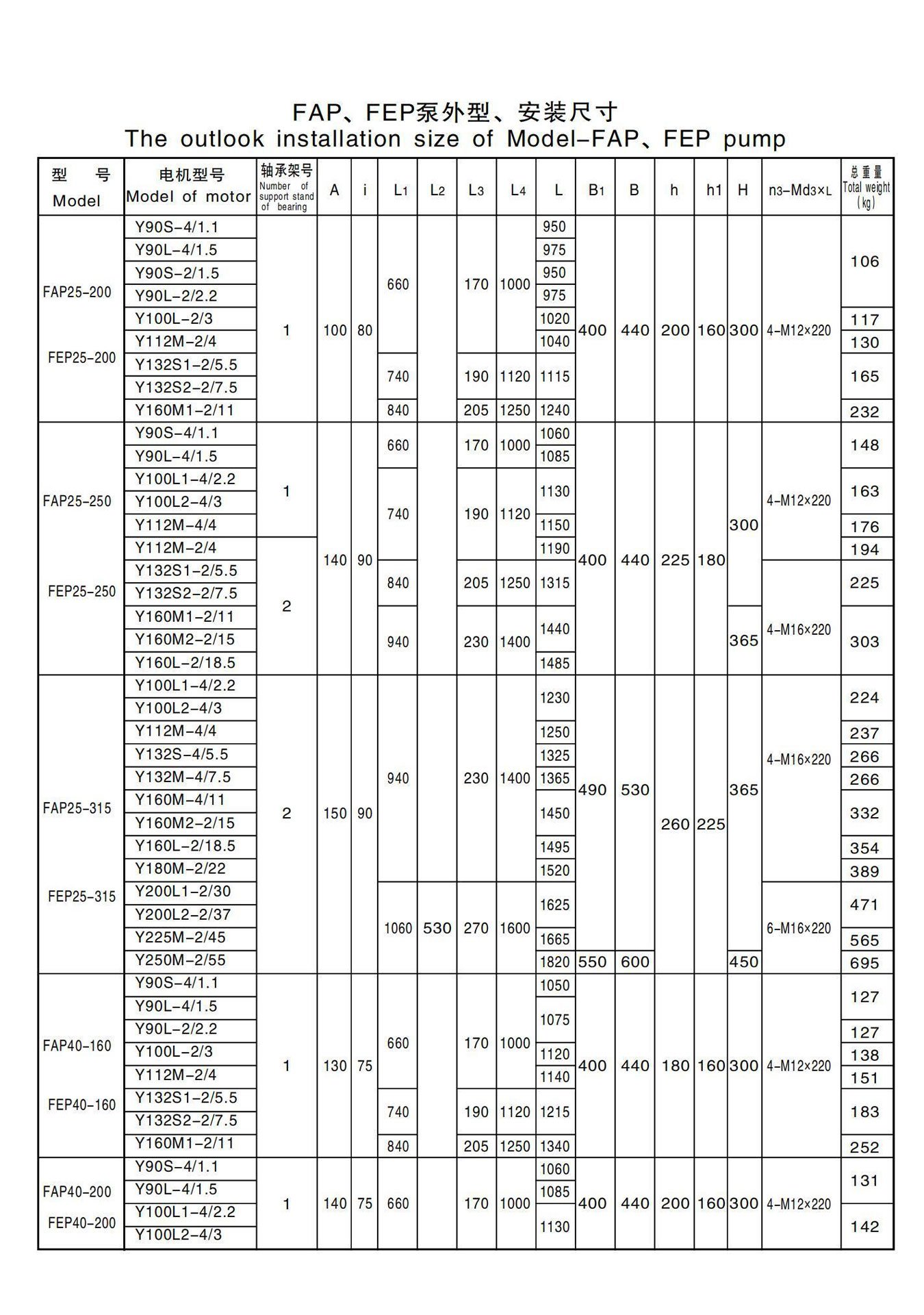
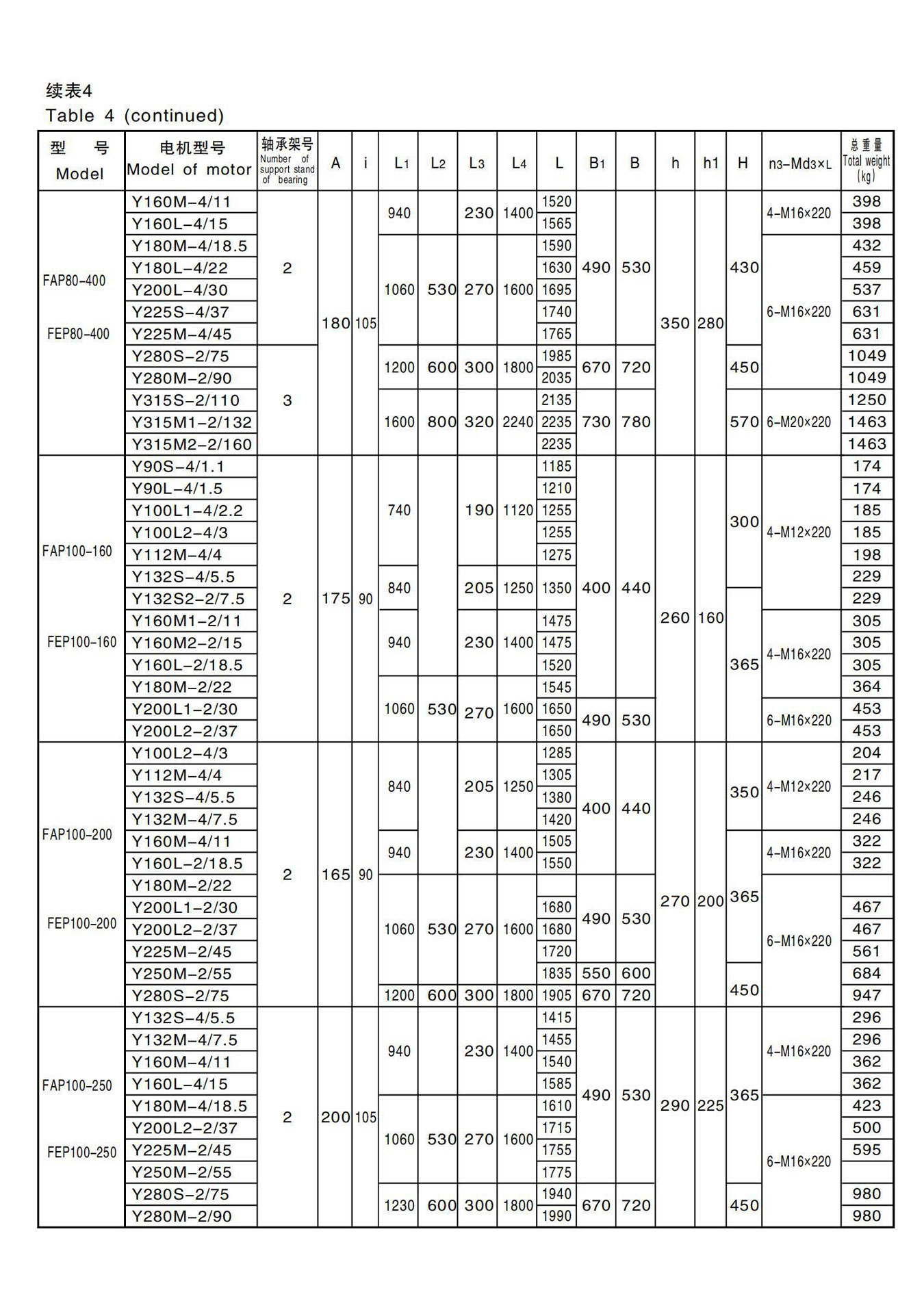
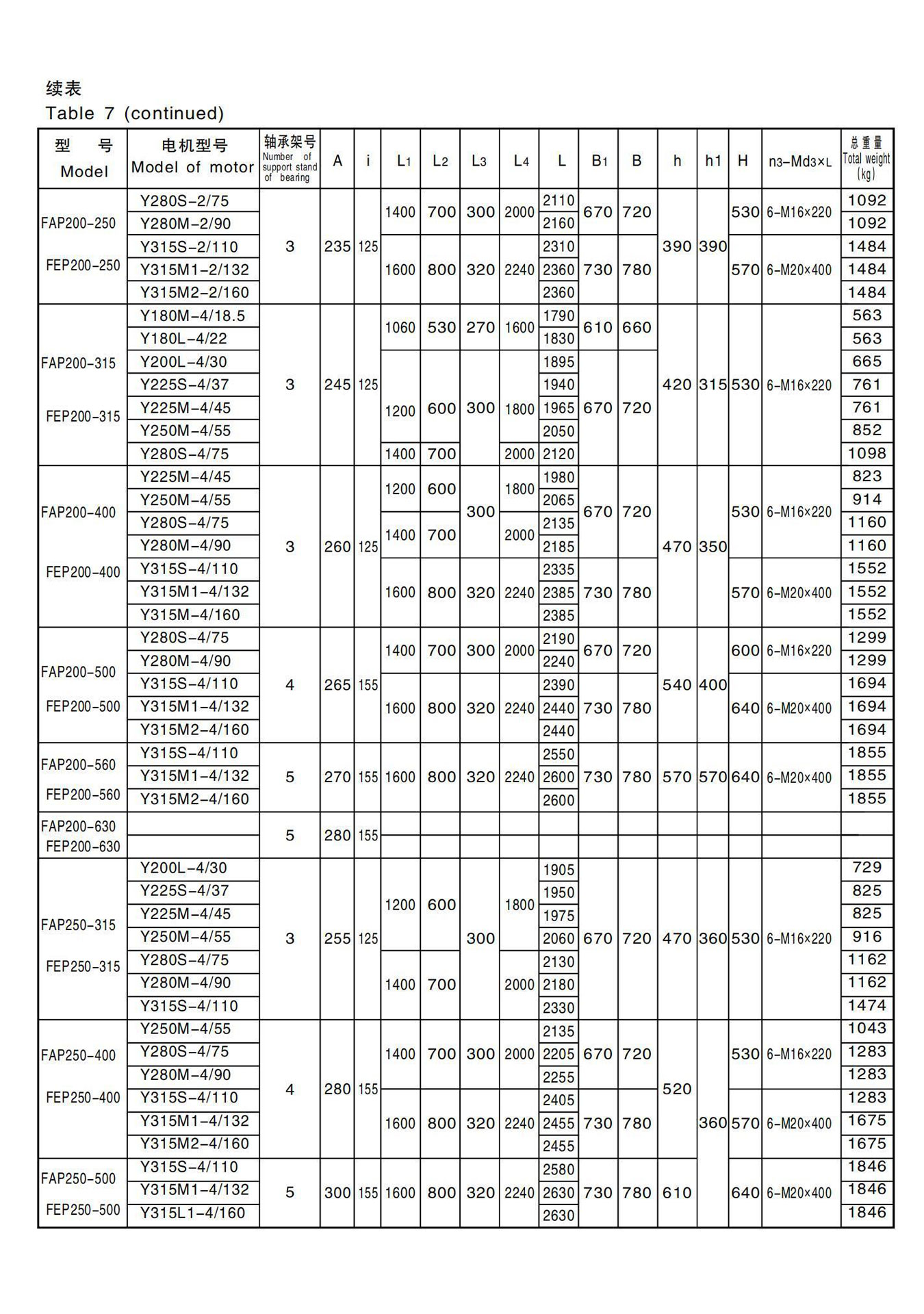
This series of pumps is a petrochemical process pump designed according to API610 specifications. The pump is a single-stage, horizontal radial split volute pump, with the pump body supported by feet. Single suction radial impeller, axial suction, radial discharge. According to the usage conditions, use front and rear wear rings and balance holes for hydraulic balance. The packing box has cooling or heating pipe joints. The shaft seal adopts a containerized single end face or double end face seal. And equipped with cooling flushing or sealing system. The sealed pipeline is designed according to API specifications. The rated pressure rating of the suction and discharge pipe flanges is the same. From the motor end, the pump rotates clockwise.If you would like to have a deeper understanding of our products, prices, and after-sales service, please contact us in the following ways. We will respond promptly and provide you with necessary services wholeheartedly.



















